Continuing the story of Śuddhodana's death from 
last time:
|  | 
| Fig. 1: 此ノ由シ 佛ノ御許ニ告
 奉ラムト為ルニ
 | 
此ノ由シ仏ノ御許ニ告奉ラムト為ルニ、仏ノ在マス所ハ舎衛国也、迦毘羅衛国ヨリ五十由旬ノ間ナレバ、使ノ行カム程ニ浄飯王ハ死給ヌベシ
For this reason, in order to reveal [his imminent death] to the Buddha (fig. 1), [who] lived in the Country of Śrāvastī (fig. 2), [Śuddhodana] was going to send a messenger (fig. 5), but since [Śrāvastī] was 50 yojana from the Country of Kapilavastu (fig. 3), King Śuddhodana would no doubt have died while [the messenger] was en route (fig. 5).
|  | 
| Fig. 2: 佛ノ在マス 所ハ舍衛國也
 | 
In fig. 1, we encounter the word 「
御許」, meaning "(his) side", where "his" in this context refers to the Buddha. As noted in the linked dictionary entry, it is an archaism and honorific language (尊敬語).
Also of importance is the phrase 「告奉ラムト為ルニ」. 
I wasn't entirely sure about the furigana here, but I assumed that 「告」 was used as a noun meaning "revelation" (which is just the kanji's meaning by itself).  Edit: from Chris's suggestion in the comments, this is more likely the verb 「告ぐ」 ― it is equivalent to the modern Japanese 「
告げる」.
That would make 「奉ラム」 the humble verb 「奉ル」 in the imperfective form (未然形), followed by the auxiliary verb 「ム」 in the predicative form (終止形), which indicates intention (意志). 
「ト」 is a case particle that, when it precedes the verb 「為ル」, indicates that whatever comes before it is the result of a change. It is comparable to 「に」 in modern Japanese. Finally, 「ニ」 is another case particle that indicates the purpose of an action, and is comparable to 「のために」 in modern Japanese.
: from Matt's comment below (and the context of what comes next in the tale), the messenger is not 
actually sent, meaning that the correct reading is 「
為ル」. In this case, 「ト」 is a citational (引用) case particle that indicates that what precedes it is the content of the following verb's action. 「為ル」 is the 
sahen (サ変) verb 「
為」, which has an irregular conjugation, with 「為ル」 being the predicative form (連体形). The verb is in the predicative form because that is required by the following conjunctive particle 「ニ」, which has the meaning of concession ("despite the fact that"/"even though").
Continuing on to fig. 2, note the verb 「在マス」. 
I sort of guessed here, since the standard way of writing 「います」  in my classical Japanese dictionary is 「坐す」. It fits grammatically, since the attributive form (連体形), which has to be used when preceding a noun (such as 「所」), of 「坐す」 is also 「坐す」 when using the yodan conjugation of that verb. Edit: as indicated by Chris in the comments, this is more likely read as 「あります」, which can be used for both animate and inanimate objects in classical Japanese. This can be broken down as the 
rahen (ラ変) verb 「在リ」 in the continuative form (連用形) followed by the honorific suffix 「ます」. Whereas 「ます」 is used in modern Japanese in polite speech (丁寧語), it also has the archaic function of indicating "
respect for those affected by the action" (look at the entry for the auxiliary verb).
According to Wikipedia, the 
kanji name 「舎衛」 for Śrāvastī is an abbreviation of 
ateji, such as 「室羅伐悉底」, although I'm not clear on where either of the 
kanji used in the abbreviation came from (perhaps they are unrelated and used just for their phonetic value as well). 
As will be seen in fig. 3, however, 「衛」 can be used in other place names as well, when placed before 「国」. Thus, it may not actually be a part of the ateji, even though that's what the Wikipedia article seems to indicate. Edit: as Matt explained in the comments, 「舎衛」 is an abbreviation of 「
舎衛城」. Although 「衛」 doesn't make much sense as an 
ateji with the modern Japanese reading, it fits the Mandarin ("wèi") and Vietnamese ("vệ"/"về") readings a little better.
There are also meaning-based translations of Śrāvastī, such as 「聞者」, which is based on the Sanskrit root "śrāvas" ("श्रवस्"), which means "
hearing" or "
fame". As mentioned in the Google Books link, this is cognate to the Latin "
cluo" and the Ancient Greek "kleos" ("
κλέος"), the latter being a theme 
encountered in Greek works such as the Iliad and the Odyssey. The common ancestor of the cognates is the Proto-Indo-European word "
*ḱléwos".
Fig. 2 ends with the archaic copula 「
也」. Note how the similarities between it and the 
hiragana 「や」 can be seen in its calligraphed form in the original text. Indeed, 「也」 is the 
kanji from which 「や」 is derived, and 「や」 is a possible reading of 「也」, one that I have encountered most often in 
kanbun texts.
|  | 
| Fig. 3: 迦毗羅衛国 ヨリ五十由旬ノ間
 ナレハ
 | 
In fig. 3, we see Kapilavastu referred to as 「迦毘羅衛国」, which I briefly brought up earlier. 
I'm not sure why this pattern of inserting 「衛」 before 「国」 exists ― 「衛」 means "defense" or "protection", so there's no apparent connection to the meaning "country" or "nation". Edit: we can see the phonetic similarities between Śrāvastī and Kapilavastu in their shared /vaC/ syllable, which is why 「衛」 is used in both names.
The case particle 「ヨリ」 is used here to indicate the point of origin (起点), and is analogous to the modern Japanese 「から」.
「ナレバ」, at the end of fig. 3, is the copular auxiliary verb 「なり」 in its perfective form (已然形), followed by the conjunctive particle 「ば」, which takes on the function of providing a causal logical connection ("since"). This is analogous to 「ので」 in modern Japanese. Also, note how the 
kana 「ナレハ」 are written in the original text ― the third 
kana is written to the left of the first two, just as was seen in 
the previous post in figs. 6 and 8. Matt suggested 
in the comments for that post that this pattern might be unique to 「テ」, but it turns out that it actually isn't. Also, a similar occurrence can be observed with 「シ」 in fig. 5 of this post.
We also encounter the 
yojana ("योजन" in Sanskrit; 「由旬」 in Japanese), a 
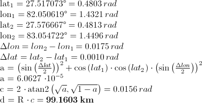
Vedic measure of distance for which the exact metric equivalent is unknown, but is estimated by scholars to be 6 to 15 kilometers. I tested this estimate by measuring the distance between where Śrāvastī and Kapilavastu are believed to be located, based on evidence discovered through archaeological digs. Their respective latitudinal/longitudinal coordinates are:
The 
haversine formula can then be used to approximate the ground distance between two sets of latitude/longitude coordinates. 
R is the radius of the Earth (6367.5 km).
I also used 
Daft Logic's Google Maps Distance Calculator to visualize/confirm this calculation:
|  | 
| Fig. 4: the distance between Kapilavastu (on the right) and Śrāvastī  (on the left). Note how they are on different sides of the (modern) India-Nepal border.
 | 
According to the prior estimates of 6 to 15 kilometers per yojana, 50 yojana would be a distance of 300 to 750 km, so there is a significant discrepancy between 
Konjaku's use of the unit and the distance a yojana is currently believed to represent. According to 
Konjaku, 1 yojana would be ~2 km. There are numerous possible reasons for this difference, but the most likely ones are that the distance was originally calculated incorrectly or that it was somehow changed in the course of various translations/retellings of the story as it progressed from India to Japan.
|  | 
| Fig. 5: 使ノ行 カム程ニ淨飯
 王ハ死給ヌベシ
 | 
Returning to the story, you can see that the portion of the text in fig. 5 was split into two separate clauses in the English translation.
In this context, 「使」 is a noun that takes on the meaning of "messenger", or "emissary".
「行カム」 can be broken down as the 
yodan verb 「行く」 in the imperfective form (未然形) followed by the auxiliary verb 「ム」 in the attributive form (連体形). In this context, 「ム」 has the function of speculation/conjecture about the future (推量).
The most confusing part of fig. 5 was the ending ― 「死給ヌベシ」. 
I decided to rewrite this as 「死ニ給フベシ」 because the okurigana 「ヌ」 didn't fit 「給」, but it fit the verb 「死ヌ」 perfectly. The auxiliary verb 「ベシ」 is used here to conjecture with confidence (確信推量), as in "would no doubt". Note how this reinforces the conjectural nature of the clause in fig. 5, a meaning that was originally introduced by the 「ム」 in 「行カム」.
「ベシ」 is expected to be preceded by a verb in its predicative form (終止形). Therefore, if 「給」 were simply left out, the sentence would make perfect grammatical sense, since the predicative form of 「死ヌ」 is just 「死ヌ」. However, the presence of 「給」 and the subject of the clause being Śuddhodana suggests that an honorific is necessary/appropriate here. The grammatically correct way to do that using the verb 「給フ」 would be to change 「死ヌ」 to the continuative form (連用形), which is 「死ニ」, then use 「給フ」 in the predicative form, which is still 「給フ」.
: as suggested by Chris, this phrase can be better explained with irregular 
okurigana usage. If you assume that 「死」 is read as 「しに」, the continuative form (連用形) of the verb 「死ヌ」 and that 「給」 is read as 「たまひ」, the continuative form of 「給フ」, then it makes grammatical sense as-is. The 「ヌ」 that follows is an auxiliary verb that can indicate either perfection (完了) or certainty (確信) ― I think it has a little of both meanings here. You can see the "no doubt" aspect of the meaning in the translation, as well as the fact that it "would" have happened ― perfection (already happened).
Yay, new post. A few comments:
ReplyDelete在マス is likely アリマス, which in classical can be used for animate beings as well as inanimate things.
給ヌ is either タマヒヌ or タマハヌ depending on whether this is negative or completion; my initial thought was 死に給ひぬべし "would be dead", which is what your translation says anyway.
告奉らむ is つげたてまつらむ; the verb is 告ぐ.
Older texts are inconsistent in their okurigana and often leave out parts that can be known from context.
> 在マス is likely アリマス, which in classical can be used for animate beings as well as inanimate things.
DeleteYeah, I was wondering whether to follow the kanji or not in this case. How would you break down 「アリマス」 according to Heian-era grammar? IIRC, the です・ます pattern of politeness did not crystallize until the late Edo period, but it had its origins in 「あります」 (which could have existed much earlier). Was 「あります」 already used at this point in history?
Also, what would have been the reason for using it in this context instead of 「ある」, seeing as 「あります」 is 丁寧語, and not 尊敬語?
ます is an honorific suffix in the Heian period. It doesn't become the modern 丁寧語 form until later. it's not used as often as 給う and mostly seems to go with existence and movement verbs.
DeleteIf I may, I think that ト為ル二 is "to suru ni". I also don't think that a messenger has actually been sent yet -- I'd read "使ノ行カム程ニ浄飯王ハ死給ヌベシ" as "King S. *would surely* die while the messenger was on his [hypothetical] way". The situation is so obviously hopeless that they aren't even bothering to send a messenger, in other words.
ReplyDelete舎衛 is from a different transliteration of Śrāvastī -- or actually of a cognate closer to Sāvatthī, the Pali equivalent. The full version was 舎衛城. It's kind of hard to see the phonetic connection when you're looking at the modern Japanese, but, for example, note that 迦毘羅衛(国) corresponds to Kapilavastu, so we have two examples of it being used to transcribe a /vaC/ syllable; meanwhile, in modern Mandarin it's "wei", in Vietnamese "ve"; seems quite within the realm of possibility even before you hit the dictionary up.
Howdy just wanted to give you a quick heads up.
ReplyDeleteThe words in your content seem to be running off the screen in Ie.
I'm not sure if this is a formatting issue or something to do with browser compatibility but I thought I'd post to
let you know. The design and style look great though!
Hope you get the issue resolved soon. Kudos
tall